B.Sc. Entrance Exam Model Question
A Bachelor of Science (BSc) is an undergraduate degree that centers on scientific disciplines such as physics, chemistry, geology, meteorology, zoology, botany, and a few others. Students can choose to specialize in any of these subjects and receive the BSc degree upon completion of the program.
However, to study the course one must appear in the BSc entrance exam and pass it. Only then will the institution allow them to enroll in the program. In the case of Tribhuvan University (TU), the Institute of Science and Technology (IoST) administers this admission test every academic year.
TU IoST is conducting the BSc entrance examination on 16th Mangsir, 2081. To help students prepare for the exam they published the model questions for the year 2081.
B.Sc. Entrance Notice 2081
Why BSc Entrance Exam Model Papers Matter?
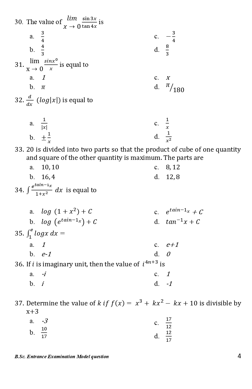
BSc entrance exams are a critical part of the admissions process at Tribhuvan University's Institute of Science and Technology. Model papers play a significant role in helping students prepare for these exams effectively.
They provide a valuable resource for understanding the exam pattern, types of questions, and the level of difficulty. By practicing with BSc entrance exam model papers, students can familiarize themselves with the exam format and improve their chances of success.
B.Sc. Entrance Exam Model Question 2081
2022
Check: Tu B.Sc. CSIT Entrance Model Question 2081
2023
B.Sc. Entrance Model Question (2022 and 2023)
2081
2079
































